Boca Ciega High School CURRICULUM GUIDE

Welcome Pirates!

We are so pleased that you have selected The Boca Ciega High School as your home for your high school experience. The vision for Boca Ciega High School is 100% student success; which is why our teachers and staff work steadfastly to open doors of opportunity for students both in and out of the classroom. BCHS is a wall-to-wall academy model school. This means all students are part of a smaller learning community with common goals and interests. Graduating Pirates college and career ready is our goal; as such the curriculum for each of our academies offers students an opportunity to earn both college credit and/or an industry certification. Additionally, as a Title 1 school we utilize Title 1 dollars to fund a full-time fully staffed College and Career Center. We are serious about growing Pirates to reach their potential. Every Pirate will be encouraged to participate in advanced course work at some point during their four years here. This is our practice because students with exposure to rigorous curriculum make more learning gains than those who are not challenged. However, we are here to support you through it all. As an AVID National Demonstration School not only can we offer the AVID elective as a system of support, but we have also embedded AVID strategies school-wide. Each BCHS instructor is equipped with a bank of instructional strategies to best help students meet standards.

We are confident that what we offer at BCHS will afford you many opportunities to develop and grow academically and gain confidence in your abilities to successfully navigate your future. We are positive every student will find a pathway to graduation that best suits their interest and academic goals. We look forward to working with you and we are glad you are here.

Please utilize this curriculum guide to investigate the options available to you, and to plan for your four years of high school. If you cannot find the answers to your questions in this curriculum guide, our school counselors are always standing by ready to help. We encourage all students and families to visit our website at https://www.pcsb.org/bocaciega-hs for the most up-to-date information.

Sincerely,

Jennifer Gil

Principal

Meet Your Pirate Administration and Counseling Team

Principal: Jennifer Gil

Center for Wellness and Medical Professionals (CWMP)

Clerk: Kevin Harper

School Counselor: Patti Banks

Assistant Principal: Danielle Spurgeon

Fundamental Program

Clerk: Gary Biron

School Counselor: Linda Balkenbush

Assistant Principal: Lamar Washington

The Academy of Creators, Scholars and Leaders (CSL)

Clerk: Yolandra Gibbons

School Counselor (grades 9-10): Jeanne Bertoli

School Counselor (grades 11-12): Cory Reiss

Assistant Principal (grades 9-10): Angela Lewis

Assistant Principal (grades 11-12): Shawn Sager

Pinellas Pathways

Pinellas County Schools developed Pathways to Graduation to provide students with a roadmap of course options to ensure that they graduate prepared for their educational and career goals after high school.

There are three Pathways: The Advanced Scholar Pathway, the College Scholar Pathway and the Technical/College Pathway.

Each Pathway provides course options that help students complete the requirements for earning a high school diploma. The Pathways also allow our graduates to distinguish themselves when they apply to colleges, universities and technical schools, or enter the workforce.

Students can choose different Pathways later or multiple Pathways at the same time. No matter which Pathway(s) students choose, they will be eligible for any or all of the diploma seals, also known as Diploma Designations: the state’s Scholar and Merit designations and Pinellas County Schools Advanced Scholar designation.

Find out about the Diploma Designations. See the High School Education webpage to learn about graduation requirements and programs. More information about graduation requirements and Diploma Designations are available on the Florida Department of Education .

Advanced Scholar Pathway

This Pathway includes a rigorous series of required and elective courses that best prepare students seeking admission to competitive four-year universities both in and out of state. Options include college-level courses, such as Advanced Placement courses, dual enrollment courses and courses offered in International Baccalaureate and Cambridge Advanced International Certificate of Education programs.

The Pathway aligns with the Pinellas County Schools Advanced Scholar diploma designation. Students who choose the Advanced Scholar Pathway will have the opportunity to be recognized as Advanced Placement Scholars by the district and the College Board.

College Pathway

This Pathway includes advanced courses that best prepare students who plan to attend universities or pursue two-year college degrees. Students in this Pathway should be taking honors-level courses and should consider taking college-level courses. This Pathway aligns with the state’s Scholar diploma designation

Technical/College Pathway

This Pathway prepares students to earn a degree or certification at a technical school or college. Students are encouraged to participate in career academies, earn nationally recognized industry certifications and challenge themselves in career and technical electives. This Pathway aligns with the state’s Merit diploma designation

Click the hyper-link to view all Pinellas Pathways to Graduation.

Florida Shines

Florida Shines is a website designed for Florida students to access a wealth of educational services. From the website, students are able to do the following:

· Review credits and achievements for their path toward a standard diploma.

· Ensure they meet the requirements to prepare for a career or an industry-based certification examination or admission to a state university. · Review their progress toward meeting eligibility for Bright Futures.

· And much more! Visit Florida Shines today! Please review the Florida Shines GUIDEBOOK to see the steps on how to view your High School Academic Progress Evaluation.

Graduation Requirements

Students wishing to enter a state-supported university as a freshman must earn two or more sequential credits in a foreign language.

Grading Scale

The following point scale will apply to all high schools, as well as to middle school students enrolled in high school courses in grade 7 or 8 for credit toward graduation:

A = 4 grade points (90-100) (outstanding progress)

B = 3 grade points (80-89) (above average progress)

C = 2 grade points (70-79) (average progress)

D = 1 grade point (60-69) (lowest acceptable progress)

F = 0 grade points (O-59) (failure)

Percentage between eighty-nine percent (89%) and ninety percent (90%), seventy-nine percent (79%) and eighty percent (80%), sixty-nine percent (69%) and seventy percent (70%), and fifty-nine (59%) and sixty percent (60%) shall be rounded up to the higher grade if at the midpoint (.5) or above; those below the midpoint (.5) shall be rounded down to the lower grade.

Calculating Final Grades

The final semester grade is determined by averaging each nine-week period by 37.5% and the exam grade of 25%.

Q1 (37.5%) + Q2 (37.5%) + Exam (25%) = Semester Grade

Retention Policy

Rising sophomores with fewer than 6 credits remain freshmen.

Rising juniors with fewer than 12 credits remain sophomores.

Rising seniors with fewer than 17 credits remain juniors.

Students can be promoted once the correct number of credits has been earned. Numerous opportunities for credit recovery are available throughout the year. Contact your counselor for more information.

Eighteen Credit Option for Early Graduation

The 18-credit early graduation options include all the requirements listed in the 24-credit option except for: 1 credit of HOPE, 1 online course, and 3 elective credits rather than 8. Students interested in the 18-credit early graduation option should share their interest with their school counselor at end of the sophomore year or the beginning of junior year. The school counselor will work with the student to create a personalized plan with the students to graduate early.

College and Career Ready

It is our goal to graduate each student college and career ready. We define college and career readiness as being exposed to college level work and/or earning an industry certification. At Boca Ciega High School there are several industry certifications students can earn that would make them ready for the competitive workforce. Likewise, with an abundance of AP, AICE, and dual enrollment options, students have ample opportunities to experience college level work with the support of their teachers in high school.

NAIA and NCAA (College Athletics)

See Mrs. Milavickas or Mr. Washington for more information on NCAA and NAIA.

FLORIDA BRIGHT FUTURES SCHOLARSHIP PROGRAM

This program offers the Florida Academic, the Florida Medallion, and the Gold Seal scholarships. Refer to the web site below for related criteria www.floridastudentfinancialaid.org In addition to providing the PSAT-NMSQT free of charge to all 9th and 10th grade students, we strongly encourage 11th grade students to take the PSAT-NMSQT. This is the final opportunity to take the PSAT and it is the only year that the PSAT results are considered to qualify a student to be recognized as a National Merit Scholar, Hispanic Scholar, or Achievement Scholar. These three recognitions all award significant scholarships for eligible students who meet the criteria and complete the requirements.

BCHS PROGRAMS OF STUDY

CWMP - Center for Wellness and Medical Professions

The Center for Wellness and Medical Professions (CWMP) is a countywide magnet program that was established in 1994. CWMP is designed for students who are interested in careers in the field of healthcare and have a commitment to personal wellness and the prevention of disease. Graduates of CWMP take academic classes that fully prepare them to enter colleges and universities with an emphasis in the sciences. At the same time students gain valuable employment skills that are specific to healthcare professions and other jobs in general. CWMP prepares students for entry level jobs that enable students to work in healthcare while allowing them to further their education, whether it is a technical school, a community college, or a university

Fundamental

Fundamental schools provide a highly structured learning environment emphasizing parental involvement and an expectation that students exhibit exemplary achievement and conduct. The dress code exceeds that of the school district; homework is required most days, and there is a focus on student responsibility and self-discipline. Parents are required to attend monthly meetings and provide transportation to and from school for students outside the Boca Ciega attendance zone.

Fundamental schools utilize the same curriculum and instructional methods as other schools based on the state standards and the Pinellas County School’s Student expectations. Fundamental policy is implemented, and a strong emphasis is placed on the requirement that home and school work together to promote successful learning. The School Within a School (SWAS) model affords opportunities for traditional and magnet schools or programs to implement the Fundamental philosophy/program in conjunction with their traditional educational philosophies.

Creators, Scholars, and Leaders

The CSL Academy or Creators, Scholars and Leaders is the academy where Boca Ciega Pirates identify with a curricular pathway that best suits their interests. Students will identify as a Creator, Scholar or Leader based on the elective courses for each pathway. Pirates must take at least one elective course offered on their pathway but may choose more! Pirates may change their CSL pathway at the end of each year.

AVID

The mission of AVID is to close the achievement gap by preparing all students for college readiness and success in a global society. AVID is a college readiness system that takes students with the potential and determination to go to college and supports their academic success in the rigorous courses required to get into those four year universities. In the AVID elective course, students are taught the skill sets (purposeful note-taking, organization, public speaking, responsibility, etc.) necessary to be successful in those rigorous courses. Many of these students will be the first in their families to attend college, come from low-income or minority families, or have unique personal circumstances that require a greater academic support system within the school day. AVID creates an atmosphere of positive peer pressure for the students, so that they are pushing each other to strive for success.

JROTC

The JROTC program is one of the most comprehensive courses in high school earning elective credits and satisfying the HOPE and Fine Arts requirements for graduation. Two years of this elective, becoming a member of an extra-curricular team, and maintaining a 2.0 GPA will accomplish this. JROTC can improve performance not only in high school, but also in college or the future workplace. When a college or employer accepts a JROTC cadet, he/she knows this is a good citizen with strong motivation who is willing to work hard. JROTC instructors are committed to guiding youth. They follow a high personal standard and teach by example. The program is an apprenticeship where the instructors are positive role models for young people today who are seeking direction, guidance, values, and a purpose for their lives. Cadets develop inner strengths like integrity, dependability and self-discipline. They leave the program with confidence, respect for others and themselves, and the self-confidence to seek other avenues of success in future endeavors. http://www.highschoolrotc.com/index.php There is a nominal fee for these JROTC courses. Two years of JROTC satisfies the HOPE requirement and the Fine Arts requirement.

Emerging Technology Studies

An exploratory program designed to introduce high school students to career opportunities in the occupational clusters of Engineering, Design and Architecture, Manufacturing, Mechanics, and Construction. Upon completion, students will be eligible for Immersive Dual Enrollment ( I D E ) at Pinellas Technical College during their senior year (upon completion of graduation requirements).

INTRO TO TEACHING PROFESSION (TEACHING)

The teaching program is designed for students who are interested in the field of education and for those who want to graduate with strong leadership skills. The teaching program is for on-time graduation leading to post-secondary education and career success through personalized learning. The teaching program fosters student leadership and involvement on campus and provide all students with opportunities for college and career research, personal mentoring, volunteering, career shadowing and career-based internships.

BCHS ADVANCED PLACEMENT COURSES

Advanced Placement classes provide students an opportunity to take classes for both high school and college credit. To receive college credit at state universities, a score of 3 or higher (on a scale of 1-5) on a test is required. Boca Ciega High School requires students to take first semester exams in all AP classes. The resulting grade will be factored into the final semester grade. Students are required to take the Advanced Placement Exam in May. Students who drop an AP course after exams are ordered will be obligated to pay for the exam.

AP Capstone Diploma

AP Capstone is an innovative new diploma program that gives students an opportunity to apply critical thinking, collaborative problem-solving, and research skills in a cross-curricular context. AP Capstone is built on the foundation of a new, two-year high school course sequence — AP Seminar and AP Research — and is designed to complement and enhance the in-depth, discipline-specific study provided through AP courses. It cultivates curious, independent, and collaborative scholars and prepares them to make logical, evidence-based decisions. www.collegeboard.org/ap-capstone

AP 2D Art and Design and AP Drawing

Grades 10-12

Develop your 2-D skills through materials and processes such as graphic design, photography, collage, printmaking, fashion illustration, collage, and others. You’ll create artwork that reflects your own ideas and skills and what you’ve learned.

Students learn to address a broad interpretation of two-dimensional design issues through digital or drawing media.

Skills You'll Learn

Investigating the materials, processes, and ideas that artists and designers use

Practicing, experimenting, and revising as you create your own work

Communicating your ideas about works of art and design

AP Art History

Grades 10-12

Class Description: AP Art History is an introductory college-level Art History course. In this course, students will engage in investigating works of art characterized by diverse artistic traditions from prehistory to the present, developing in-depth, holistic understanding of the history of art from a global perspective.

AP Biology

Grades 11-12

Designed to be taken by students after the successful completion of a first course in high school biology and one in high school chemistry. It aims to provide students with the conceptual framework, factual knowledge, and analytical skills necessary to deal critically with the rapidly changing science of biology.

AP CALCULUS AB

Grades 11-12

Most of the year must be devoted to topics in differential and integral calculus. Students must be familiar with the properties of functions, the algebra of functions, and the graphs of functions. Students must also understand the language of functions.

AP Calculus AB is an introductory college-level calculus course. Students cultivate their understanding of differential and integral calculus through engaging with real-world problems represented graphically, numerically, analytically, and verbally and using definitions and theorems to build arguments and justify conclusions as they explore concepts like change, limits, and the analysis of functions.

AP Chemistry

Grades 11-12

AP Chemistry is a general chemistry course that covers the first two semesters of college-level chemistry and the corresponding lab classes for a total of 8 college credits. Students will cultivate their understanding of chemical systems using modeling and laboratory investigations to explain scale proportion and quantities, chemical structure and properties, transformations, and energy. Understanding of chemistry is needed for all areas of science, and principles of chemistry explain macroscopic observations of our world.

Topics include atomic structure and properties, chemical bonding, gases and solutions, reactions, stoichiometry (how much is made in a reaction), reaction rates, thermodynamics (heat and reactions), reversible reactions, acids and bases, and electrochemistry (making batteries!). There is a considerable amount of math in AP Chemistry and students should be ready to do calculations each class for the entire year. Students should note that while some topics may seem familiar from pre-AP chemistry or other previous science courses, AP chemistry covers each of these topics in much more depth and considers much of pre-AP chemistry as prior knowledge. It will not simply repeat the same topics covered in pre-AP Chemistry.

AP Chemistry will provide you with the background you need to be successful in chemistry when you get to college. Chemistry courses in college are considered very difficult, and you typically have very little help from your professor. You will have much more support and one-on-one attention in AP Chemistry, and this will help you develop the foundational skills for success. Students are always glad they had the experience of AP Chemistry once they get to college. Colleges also look for difficult courses such as AP Chemistry on your transcript to set you apart from other applicants. Colleges look at course rigor in addition to GPA and test scores, and AP Chemistry will help you stand out. AP Chemistry can also count toward general education requirements with a qualifying score, and will teach you study skills, critical thinking, and lab skills necessary for college.

A successful student is someone who enjoys solving complex problems and has the determination to keep working until it clicks. They enjoy math-based reasoning and applying mathematics to explain phenomena. Successful students are willing to put in time and effort at home and will self-advocate if they do not understand a topic. The College Board recommends that students have previously taken a high school level chemistry class (pre-AP chemistry) and Algebra 2 before taking AP Chemistry. Students without these prerequisite classes must be highly motivated and willing to learn this material on their own.

Chemistry is needed for all STEM majors. Specifically, students wishing to major in athletic training, biology, biomedical science, chemistry, engineering, environmental science, forensic science, health science, marine biology, nursing, and physics will need to take multiple semesters of chemistry in college. Students wishing to go to medical school, pharmacy school, vet school or PA school will also need to take multiple years of chemistry in college.

AP Computer Science Principles

Grades 9-12

AP Computer Science A introduces students to computer science through programming. Fundamental topics in this course include the design of solutions to problems, the use of data structures to organize large sets of data, the development and implementation of algorithms to process data and discover new information, the analysis of potential solutions, and the to process data and discover new information, the analysis of potential solutions, and the ethical and social implications of computing systems. The course emphasizes object-oriented programming and design using the Java programming language.

AP English Language and Composition

Grades 10-12

AP English Language and Composition is an introductory college-level composition course. Students cultivate their understanding of writing and rhetorical arguments through reading, analyzing, and writing texts as they explore topics like rhetorical situation, claims and evidence, reasoning and organization, and style.

In this course, we cover Current Events, Political Speeches, Editorials, Short Stories, Advertising, and Argumentative Writings

You should take this course because students will learn how to write for college. AP Language and Composition will teach you research skills, writing skills, and debate skills. Passing this AP Exam will generally give you credit for College Freshman English.

The characteristics of a successful student are someone willing to work hard, likes to read challenging texts and research current topics.

This course is great for students pursuing any field of study in college. It teaches you to read critically to make sound decisions. All students attending a college after high school will need to complete an equivalent course.

AP English Literature

Grades 10-12

The AP English Literature and Composition course focuses on reading, analyzing, and writing about imaginative literature (fiction, poetry, drama) from various periods. Students engage in close reading and critical analysis of imaginative literature to deepen their understanding of the ways writers use language to provide both meaning and pleasure. As they read, students consider a work’s structure, style, and themes, as well as its use of figurative language, imagery, and symbolism. Writing assignments include expository, analytical, and argumentative essays that require students to analyze and interpret literary works.

AP Environmental Science

Grades 10-12

Class Description: Purpose of this class is to make you more aware of what is going on in the world around you and how your impact can make a difference. You will explore and investigate the interrelationships of the natural world and analyze environmental problems, both natural and human-made. You’ll take part in laboratory investigations and field work.

Major Topics Covered: You will learn about our Florida ecosystems, earths systems and resources, our land and water use and its impact, atmospheric pollution, variety energy resources and our consumption, aquatic and terrestrial pollution, and global climate change.

Why Should You Take this Class: You should take this class because it will be the most interesting, relatable, fun, depressing at times, useful class you will ever take in high school. It will make you learn about so many topics that are crucial for your everyday life and make you question things daily. It is a hands on classroom and we become a family over the year. Plus I am seriously the coolest science teacher here, ok maybe second to Mr. Cook

Characteristics of a Successful Student: Come to my classroom open to learning, applying what you learn and making it relatable to you, and of course you will need to study and complete your assignments to be successful.

College Major/Career Choices: Any student taking this course is one thinking of just wanting to learn more about the why and how to become a better citizen of this crazy world we live in. If you are interested in pursuing a degree in science: Biology, Environmental Science, Marine Science, Environmental Engineering, Environmental Law, etc. this class is for you!

College Course Equivalent

The AP Environmental Science course is designed to be the equivalent of a one-semester, introductory college course in environmental science.

AP European History

Grades 10-12

Class Description: AP European History is an introductory college-level history course. You will study the cultural, economic, political, and social developments that have shaped Europe from c. 1450 to the present. You’ll analyze texts, visual sources, and other historical evidence and write essays expressing historical arguments. Students will learn how to analyze primary and secondary sources; how to analyze claim through evidence and reasoning, as well as putting historical developments in context and support it in writing essays.

Major Topics Covered: The major topics covered in AP European History are the Renaissance, Protestant Reformation, Wars of Religion, Age of Exploration, Constitutionalism, the Enlightenment, the French Revolution & Napoleon, the Industrial Revolution, the Revolutions of 1830 and 1848, changes in standard of living during the 19th century, Imperialism, Nationalism leading up to WWI, WWI, The Age of Anxiety, Totalitarianism and WW2, The Cold War, The End of the Cold War and the beginning of the European Union.

Why You Should Take this Class: AP European History gives you the best opportunity to get to know yourself better while earning college credit. Like all AP courses you will develop your skills as a critical thinker. AP Euro also has the edge in that it teaches you how you learn, how to study and how to cope with stress. You will uncover the complexities of Europe, and a greater understanding behind everything that happens in the world. Earning a qualifying score on this exam can help you earn credit for a general education requirement in college.

Characteristics of a Successful Student: Someone willing to do the work needed, likes to read challenging texts, make connections and take part in discussions. The AP curriculum stresses higher order thinking skills within a rigorous academic context. Students will be required to frequently analyze, synthesize, and evaluate primary and secondary sources in addition to memorizing, comprehending, and applying key concepts.

College Major/Career Choices: ALL. This course most often fulfills a general education requirement for most majors. Students attending a college after high school will need to complete an equivalent course.

AP Human Geography

Grades 9-12

AP Human Geography introduces high school students to college-level introductory human geography or cultural geography. The content is presented thematically rather than regionally and is organized around the discipline’s main subfields: economic geography, cultural geography, political geography, and urban geography. The approach is spatial and problem oriented. Case studies are drawn from all world regions, with an emphasis on understanding the world in which we live today. Historical information serves to enrich analysis of the impacts of phenomena such as globalization, colonialism, and human–environment relationships on places, regions, cultural landscapes, and patterns of interaction.

Specific topics with which students engage include the following:

  • problems of economic development and cultural change
  • consequences of population growth, changing fertility rates, and international migration
  • impacts of technological innovation on transportation, communication, industrialization, and other aspects of human life
  • struggles over political power and control of territory
  • conflicts over the demands of ethnic minorities, the role of women in society, and the inequalities between developed and developing economies
  • explanations of why location matters to agricultural land use, industrial development, and urban problems
  • the role of climate change and environmental abuses in shaping the human landscapes on Earth

The goal for the course is for students to become more geoliterate, more engaged in contemporary global issues, and more informed about multicultural viewpoints. They will develop skills in approaching problems geographically, using maps and geospatial technologies, thinking critically about texts and graphic images, interpreting cultural landscapes, and applying geographic concepts such as scale, region, diffusion, interdependence, and spatial interaction, among others.

Students will see geography as a discipline relevant to the world in which they live; as a source of ideas for identifying, clarifying, and solving problems at various scales; and as a key component of building global citizenship and environmental stewardship

AP Music Theory

Grades 10-12

The AP Music Theory course corresponds to one-to-two semesters of typical, introductory college music theory coursework that covers topics such as musicianship, theory, and musical materials and procedures. Musicianship skills, including dictation and listening skills, sightsinging, and harmony, are an important part of the course. Through the course, students develop the ability to recognize, understand, and describe basic materials and processes of tonal music that are heard or presented in a score. Development of aural (listening) skills is a primary objective.

Performance is also part of the curriculum through the practice of sight-singing. Students learn basic concepts and terminology by listening to and performing a wide variety of music. Notational skills, speed, and fluency with basic materials are emphasized

AP Physics I

Grades 10-12

AP Physics 1 is an algebra-based, introductory college-level physics course that covers the first semester of college-level physics and the corresponding lab class. Students cultivate their understanding of physics through classroom study, in-class activity, and hands-on, inquiry-based laboratory work as they explore concepts like systems, fields, force interactions, change, conservation, and waves. AP Physics is a lab-intensive course that allows students to critically think about concepts that apply to daily life.

AP Physics 1 focuses on everything involving motion. Topics include kinematics (position, velocity, and acceleration), dynamics (forces), circular motion, energy, momentum, simple harmonic motion (oscillations), and rotational motion. There is a considerable amount of math in AP Physics and students should be ready to do calculations each class for the entire year. Students will use algebra and geometry daily, and students should be aware that most problems require the manipulation of variables without numbers.

AP physics is a great course to prepare you for success in college. You will learn vital study skills and critical thinking required for success in any college major, but specifically for students wishing to pursue STEM majors in college. Students who take physics in high school are much more likely to be successful in the course in college. Physics is required for almost all science-based majors, and many students enter these courses in college unprepared. AP Physics provides background knowledge and skills that students need to be successful. AP Physics will make students’ college applications much more competitive. College admissions officers look for rigorous courses such as AP physics, and this course can make your application stand out.

A successful student is enjoys solving complex problems and has the determination to keep working until it clicks. They enjoy math-based reasoning and applying mathematics to explain phenomena. Successful students are willing to put in time and effort at home and will self-advocate if they do not understand a topic. The College Board recommends that students have previously taken geometry before taking AP Physics. Students without these prerequisite classes must be highly motivated and willing to learn this material on their own.

Physics is needed for all STEM majors. Specifically, students wishing to major in architecture, astronomy, meteorology, chemistry, computer science, engineering, construction management, environmental science, geology, marine biology, math, and music will benefit from AP Physics. Students wishing to go to medical school, pharmacy school, vet school or PA school will all need physics!

AP Precalculus

AP Capstone Research

Grades 10-12

AP Research, the second course in the AP Capstone experience, allows students to deeply explore an academic topic, problem, issue, or idea of individual interest. Students design, plan, and implement a yearlong investigation to address a research question. Through this inquiry, they further the skills they acquired in the AP Seminar course by learning research methodology, employing ethical research practices, and accessing, analyzing, and synthesizing information. Students reflect on their skill development, document their processes, and curate the artifacts of their scholarly work through a process and reflection portfolio. The course culminates in an academic paper of 4,000–5,000 words (accompanied by a performance, exhibit, or product where applicable) and a presentation with an oral defense.

AP Capstone Seminar

Grades 11-12

Class Description: AP Capstone Seminar is an inquiry-based course that aims to engage students in cross-curricular conversations that explore real-world topics and issues from multiple perspectives. Your goal by the end of the course, should you choose to accept it, is to collect and analyze information with accuracy and precision in order to craft and communicate evidence-based arguments.

In this course we will collect and analyze information with accuracy and precision; craft, communicate, and defend evidence-based arguments; practice research skills while exploring relevant topics that appeal to student interest and curiosity.

You should take this class in order to learn the skills necessary for successful college completion and apply skills in new situations and cross-curricular contexts.

This course requires regular attendance, active participation in all activities and discussions, and opportunities to exchange thoughts and opinions. You will be expected to be on task at all times and to respect the thoughts and opinions of your classmates.

A student taking this course is one thinking of succeeding in ANY college course that involves research.

AP Spanish Language

Grades 10-12

AP Spanish Language and Culture is equivalent to an intermediate level college course in Spanish. Students cultivate their understanding of Spanish language and culture by applying interpersonal, interpretive, and presentational modes of communication in real-life situations as they explore concepts related to family and communities, personal and public identities, beauty and aesthetics, science and technology, contemporary life, and global challenges.

AP Spanish Literature

Grades 10-12

AP Spanish Literature is equivalent to a college level introductory survey course of literature written in Spanish. Students continue to develop their interpretive, interpersonal, and presentational skills in Spanish language as well as critical reading and analytical writing as they explore short stories, novels, plays, essays, and poetry from Spain, Latin America, and U.S. Hispanic authors along with other non-required texts.

AP Statistics

Grades 10-12

AP Statistics is an introductory college-level statistics course that introduces students to the major concepts and tools for collecting, analyzing, and drawing conclusions from data. Students cultivate their understanding of statistics using technology, investigations, problem solving, and writing as they explore concepts like variation and distribution; patterns and uncertainty; and data-based predictions, decisions, and conclusions.

AP United States Government and Politics

Grades 9-12

Class Description: AP United States Government and Politics is a course about the American political system. It will discuss political ideology, the development of the U.S. political system, and U.S. democratic institutions. Students will be able to evaluate the role of the national government and its relationship to the concept of liberty in a pluralistic society. The discussions will emphasize the changing political culture of American society and its effect on voting patterns, trends, and the processes of government. The main thrust of this course is to provide students with the tools to apply your knowledge of our political system to contemporary events in order to be informed and productive citizen in society.

Major Topics Covered: AP United States Government and Politics examines: The ideals of democracy as shown in the Declaration of Independence and the Constitution, Federalist and Anti-Federalist views on central government and democracy, Separation of powers and “checks and balances”, and the relationship between the states and the federal government (federalism).

Why You Should Take this Class: AP United States Government and Politics gives you the best opportunity to get to know yourself better while earning college credit. Like all AP courses you will develop your skills as a critical thinker. AP Government also has the edge in that it teaches you how you learn, how to study and how to cope with stress. You will uncover the complexities of the American system of government, and a greater understanding behind everything that happens in the United States. Earning a qualifying score on this exam can help you earn credit for a general education requirement in college.

Characteristics of a Successful Student: Someone willing to do the work needed, likes to read challenging texts, make connections, and take part in discussions. The AP curriculum stresses higher order thinking skills within a rigorous academic context. Students will be required to frequently analyze, synthesize, and evaluate primary and secondary sources in addition to memorizing, comprehending, and applying key concepts.

College Major/Career Choices: ALL. This course most often fulfills a general education requirement for most majors. Students attending a college after high school will need to complete an equivalent course.

AP United States History

Grades 10-12

AP US History is an introductory college-level history course. AP US History is the systematic study of the United States beginning with its discovery and founding by the Europeans, its establishment as a Constitutional Republic, the fostering of democracy and civil liberties, and its development to the present through massive immigration, technological advancements, economic opportunity, amidst the constant struggle for equality through social movements. Students will learn to analyze documents and various primary and secondary sources to arrive at a nuanced understanding and a broad perspective through argumentative essays and critical thinking skills.

Students will learn about the major events that contributed to the development of the United States. Students will examine the social, political, economic and sociocultural factors that shaped the nation. Students will also examine the social and political movements that influenced and improved the American society.

AP US History is a class that encompasses your life as a member of American society. It is extremely relevant and pertinent to your life. Studying the foundation of America helps to understand the complex society in which you live. It is impossible to understand the direction of the country without knowing its origins, its philosophies, its struggles, its morals, its triumphs; you can never know where you’re going unless you know from where you came. Like all AP courses you will develop your skills as a critical thinker. Earning a qualifying score on this exam can help you earn credit for a general education requirement in college.

A successful student is Someone willing to do the work needed, likes to read challenging texts, make connections and take part in discussions. The AP® curriculum stresses higher order thinking skills within a rigorous academic context. Students will be required to frequently analyze, synthesize, and evaluate primary and secondary sources in addition to memorizing, comprehending, and applying logical concepts.

This course most often fulfills a general education requirement for most majors in colleges. Students attending a college after high school will need to complete an equivalent course.

AP World History

Grades 10-12

Class Description: AP World History: Modern is an introductory college-level modern world history course. Students cultivate their understanding of world history from c. 1200 CE to the present through analyzing historical sources and learning to make connections and craft historical arguments as they explore concepts like humans and the environment, cultural developments and interactions, governance, economic systems, social interactions and organization, and technology and innovation.

Major Topics Covered: The major topics covered in AP World History: Modern are: 1200 to c. 1450, Unit 1: The Global Tapestry, Unit 2: Networks of Exchange; 1450 to c. 1750 Unit 3: Land-Based Empires, Unit 4: Transoceanic Interconnections; 1750 to c. 1900 Unit 5: Revolutions, Unit 6: Consequences of Industrialization; 1900 to the present, Unit 7: Global Conflict, Unit 8: Cold War and Decolonization, Unit 9: Globalization.

Why You Should Take this Class: AP World History: Modern gives you the best opportunity to get to know yourself better while earning college credit. Like all AP courses you will develop your skills as a critical thinker. AP World also has the edge in that it teaches you how you learn, how to study and how to cope with stress. You will uncover the complexities of human civilizations, and a greater understanding behind everything that happens in the world. Earning a qualifying score on this exam can help you earn credit for a general education requirement in college.

Characteristics of a Successful Student: Someone willing to do the work needed, likes to read challenging texts, make connections, and take part in discussions. The AP curriculum stresses higher order thinking skills within a rigorous academic context. Students will be required to frequently analyze, synthesize, and evaluate primary and secondary sources in addition to memorizing, comprehending, and applying key concepts.

College Major/Career Choices: ALL. This course most often fulfills a general education requirement for most majors. Students attending a college after high school will need to complete an equivalent course.

A.I.C.E. Course Offerings

Boca Ciega High School is NOT an AICE Cambridge school, but we do offer a variety of AICE Cambridge courses. The Cambridge International Examinations prepares students for life, helping them develop an informed curiosity and a lasting passion for learning. AICE Cambridge is part of Cambridge Assessment, a department of the University of Cambridge. Their international qualifications are recognized by the world’s best universities and employers, giving students a wide range of options in their education and career.

AICE General Paper

Grades 10-11

The aim of AICE English General Paper is to improve learners’ skills in reading and writing and the ability to think critically about contemporary issues. It also seeks to improve communication in English. As they explore modern issues in this course, learners become aware that not everyone sees the world as they do. Where we live and what we value play important roles in shaping our views. Students should strive to approach modern matters with both maturity and sensitivity. Activities featured in the scheme of work are designed to help them do this. Learners will take responsibility to pay attention in core courses such as science, math, history, and the arts to help reinforce their understanding of these topics. The strategies for reading and writing explored in this course can transfer to any academic field, making it foundational to learners’ overall educational experience. Each unit builds reading skills, which scaffold into writing.

AICE Marine Science

AICE Marine Science provides a coherent and in-depth exploration of the marine environment. We will use a combination of scholastic materials and hands-on laboratory experiments to make real life connections to what students will learn. We will heavily implement the scientific method to think critically about the ocean, analyze data and solve problems. This course aims to help students better understand and appreciate the creatures around us, the marvels of the ocean, and the amazing processes of life that take place within it. With this understanding students will be equipped with the knowledge they need to make informed decisions about life and the world around them.

AICE Photography

The purpose of this course is to enable students to communicate and express through visual perception and aesthetic experiences a language in addition to those used by literary, mathematical, scientific and factually-based subjects. This studio-based language will enable students to develop their abilities of observation and analysis of the visual world, sensitivity, skill, personal expression and imagination. Students should also learn to relate these skills to an enhanced knowledge of their own and other cultures, past and present, and an appreciation of practical design problems. Students should acquire a good knowledge of photographic material and techniques in which aesthetic and pictorial qualities are evidenced. Natural and/or studio lighting may be used to produce related and collected images presented as a series or sets of sequential images. Students should demonstrate familiarity with photographic equipment to include cameras, flash guns, studio lighting, and computer programs. Students should demonstrate familiarity with photographic processing to include production and image modification.

Dual Enrollment Course Options - On Campus

SPC Courses at BCHS

Students must take the PERT and earn qualifying scores. See counselors for more information.

Composition 1

"G" Prerequisite: (ENC 0020) and (prerequisite or co-requisite REA 0002) or EAP 1695 or appropriate scores on the Writing and Reading placement tests. This course is designed to develop composition skills. It emphasizes the development of the multi-paragraph essay and includes practice in information retrieval from electronic and other sources, as well as in the selection, restriction, organization, and development of topics. It also offers the student opportunities to improve proficiency with sentence structure, diction, and mechanics. Selected writing samples are examined as models of form and as sources of ideas for the student's own writing. Conferences provide individual instruction. Sections of computer-assisted and individualized instruction are offered. This course partially satisfies the writing requirements outlined in the General Education Requirements. Credit is only given for one of the following: ENC 1101, ENC 1121H or IDS 1101H. 47 contact hours.

Composition 2

"G" Prerequisite: (ENC 1101 or ENC 1121H) and (REA 0002 or EAP 1695) or appropriate scores on the English and Reading placement test. This course builds upon the skills developed in Composition I. It provides further instruction in the planning, organization, and writing of essays. It stresses methods of library research including information retrieval from electronic sources, and emphasizes writing of the research paper and the paper of literary interpretation. The reading includes selections from at least two forms of literature. This course partially satisfies the writing requirements outlined in the General Education Requirements. Credit is not given for both ENC 1102 and ENC 1122H. 47 contact hours.

Elementary Spanish I

This course introduces students to the four skills (listening, speaking, reading and writing) of the Spanish language and teaches students to appreciate the cultures of Spanish speaking countries. Credit is not given for SPN 1120 and SPN 1120H. 62 contact hours.

Elementary Spanish II

Prerequisite: SPN 1120 or SPN 1120H or permission of instructor. This course reinforces the basic Spanish language skills previously acquired. The course further develops listening, speaking, reading and writing skills as well as an understanding and appreciation of the cultures of Spanish-speaking peoples. Credit is not given for both SPN 1121 and SPN 1121H. 62 contact hours.

The College Experience

This course is designed to strengthen skills essential to success in college, with further applications to post-college plans. Included are study and test-taking strategies; effective interpersonal skills; time management techniques; creative and critical thinking skills; college services and resources; educational policies, procedures, regulations and terminology; and library resources, research strategies, and information skills for online, blended, and traditional learning environments.

American Government

Prerequisite: (ENC 0020 and REA 0002) or EAP 1695 or appropriate score on the SPC placement test. This survey course provides a comprehensive examination of the American political system. Through this course students will become familiar with theory, organization, principles, and function of the American national government, and various elements within the political system that work to shape policy outcomes. This course partially satisfies the writing requirements outlined in the General Education Requirements. Credit is not given for both POS 2041 and POS 2050H. 47 contact hours.

World Religions

"G" Prerequisite: ENC 0020 or EAP 1695 or satisfactory score on the SPC placement test. This course examines the general characteristics of the major religions of the world. Topics include the nature of religion, Indigenous Religions, Judaism, Hinduism, Buddhism, Jainism, Sikhism, Confucianism, Taoism, Shinto, Christianity, Islam and New Religious Movements. Each is examined in its cultural context, how basic human concerns are addressed, the way purpose for life is defined, and the uniqueness of religious practice. This course partially satisfies the writing requirements outlined in the General Education and Enhanced World View Requirements. 47 contact hours.

USF Dual Enrollment Course at BCHS

Introduction to the Teaching Profession

Introductory survey course required for admission in the college of education. A broad overview of the history, sociology, and philosophy of education in the United States focuses on education as a field of study and teaching as a profession. Includes lecture and field experience.

Teaching Diverse Populations

The course explores the role of formal and informal education within an increasingly diverse and global society. The course covers sociocultural approaches to education with a focus on immigration, race, gender, language, sexuality, and ability.

BCHS Course Offerings by Subject

Mathematics

Language Arts

Science

Social Studies

World Languages

Physical Education

Business

Emerging Technology, Engineering, and TV Production

Fine Arts

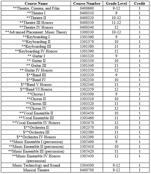
Performing Arts

AVID Course

Center for Wellness and Medical Professions

Course Registration Forms for 2024-2025