Updated September 19, 2024
JEWISH MOBSTER BEHIND JFK ASSASSINATION
China, Saudi Arabia, and Russia are partners in the attack on America. The Chinese People's Liberation Army came up with the end phase of Unrestricted Warfare in 1998. The plan began in the early 60s and called for infiltration of America's military, law enforcement, courts, and political infrastructure.
China, Saudi Arabia, and Russia have been rapidly preparing for an all-out war with the United States by drilling, refining, and stockpiling gasoline for a protracted battle with us. With the Ukraine War in full bloom, this updated report is necessary to help save democracy and the free world.
A NATO Training General Groomed by Russia's GRU
RETIRED GENERAL MARK McQUEEN, Panama City, Florida
The Russian Mafia and NATO
The Church mentioned in the USAF/FBI report referring to illegal aliens smuggled onto Top Secret Military bases is First Baptist Church of Panama City, FL, which has direct ties to First Baptist Church at Enterprise, Al.
Former NATO Training General Mark McQueen, below the new Panama City Manager, managed First Baptist.
The F.B.I. and USAF conducted a criminal investigation and the federal grand jury cover-up shut down in 2004 to protect Jeb and George Bush from criminal prosecution smuggling illegal aliens into the United States to work them on a D.O.D. awarded a $5 billion USAF contract to remove asbestos from top-secret bases.
Two United States Attorney's working on the case were murdered by members of the Bush White House CIA and FBI; both deaths were labeled suicides. Agent James Stewart, a former NOPD cop, was recruited by the FBI, made a CIA agent at the White House, and placed into the Pensacola FBI office as Supervisor to protect the Russian Mafia operation.
- The Aztec Florida case was originated by Emerald Coast Insider news-stand magazine owned by Debbie Van Court and myself. After federal agents confirmed our investigative work product raiding Aztec's Panama City headquarters, we were attacked and put out of business.
The Blow-back was extensive and forced us to sell our Beach home and flee the state. In August 2006, Nellie Ruth Caylor, my mother, was brutally beaten to death with a hammer. I could not have an open-casket funeral for her as her brain was knocked into a mid-line shift; she was black and blue all over and swollen from the fight she put up. Corrupt Alabama cops stated she stumbled and fell while attempting to evict a tenant from one of her apartment buildings. She was 4'8" tall and weighed less than 100 lbs. Those same cops tried to shoot me in the back after her funeral.
Editor's note: My father was the Chief of Police at Enterprise who helped establish the Mafia network I am writing exposing. When the FBI ran Mobsters from Phenix City, Al, in the late 50s and early 60s, my father made them his cops and welcomed the business gangsters with open arms. I never saw eye to eye with my father and his friends. I always held my moral and ethical ground and had to fight hard to survive these evil people who sought to take America from us by any means.
It was the second and last successful attempt on her life since April 2000. In early 2000, I moved to Bay Point Resort Marina Club Condominiums beside Charles Whitehead. Chairman of the Florida Democratic Party a Dixie Mafia Gangster fixer known as the Mechanic to spy on him. In 1993 I was able to secure a Bay County Grand Jury to investigate "Cash Register Justice" a scheme by law enforcement to shake down bribes from criminal defendants in exchange for dismissal of charges after payoffs to certain parties and non-profit entities.
I uncovered that Whitehead was protecting the New York Genovese Crime Family's Florida Dog Track racing business. Stockton Hess was the frontman for the Family and owned all of Florida's dog racing tracks, and was in the Cocaine distribution and sales business himself.
Whitehead was the man who gave George W. Bush the White House in 2000. He was part of a long-range plan to overthrow America implementing Nazi-style Fascism. In the '80s Whitehead was Florida Democratic Party Chairman and apparently made the deal with Bush whose grandfather Prescott Bush bankrolled Adolph Hitler's rise to power in pre-WWII Germany and was the funder of Watergate's Richard Nixon.
The networks players own credit reporting agencies, publish online "Black-Lists" are filthy rich from drug and illegal profits, exercising complete control over its enemies and local, state news. If you are on their Black List, you can't purchase a home or rent an apartment even if you pay cash upfront in full for real estate. The protected network started as the Arkansas Development Finance Authority under Bill Clinton when he was Arkansas governor. It was hijacked by Republicans and continues today operating as various banks, BB&T, Centennial Bank, Trustmark, Hancock, and Regions. Its knowledgeable members must be exposed, prosecuted, and imprisoned before they destroy America.
Former Bay County Sheriff LaVelle Pitts a member introduced me to Defense Intelligence Agency people running the child human trafficking network in the late 80s, some were his detectives.
Former Sheriff Pitts and wife Sally above
An Asian woman above reported to be an adopted God-daughter of Allan "Frog" Johnson speaks with him at Outback's bar in a 2008 undercover photo.
In the '80s Pitts introduced me to Allan "Frog" Johnson top photos as his best detective and Frog's 14-year-old girlfriend. A former BCSO and State Attorney investigator under Leo Jones and Martha (Sister) Blackmon Milligan ran the trafficking network and fronted all strip joints in South Alabama and North Florida.
Johnson was famous for Owning Show-N-Tail an adult bar on Thomas Drive protected by law enforcement and the Bay County Ministerial Alliance fronted by the late J.W. Hunt of Springfield Assembly of God an evangelist-Mafia associate with 3,000 international churches engaged in money-laundering represented by Mafia attorney and former Bay Circuit Judge Richard Albritton.
Since Johnson's demise the current Show-N-Tail is owned in part by a former Tennessee BATF federal agent and current Outlaws Motorcycle Gang member James McGlockin with the building leased by former Memphis, TN Baptist minister Dennis Pledger. Pledger a First Baptist Panama City member also owns signal Hill Golf Course.
A 2008 surveillance photo shows Frog sitting at a nightly meeting with convicted child pornographer Scott Amburg a partner meeting at Outback restaurant in Panama City, Fl.
In 2014 Johnson was assassinated by Derrick Ray Thompson, a network member, close associate, with two bullets behind the ear as part of a cleanup operation due to the FBI's penetration of the highly protected network part of Robert Mueller's Russian Investigation.
Grooming sexually compromised children to become judges and political leaders are old tactics used in espionage and political subversion.
Former Bay County Sheriff Frank McKeithen a family member to Mafia members involved in trafficking in children and protecting the network from prosecution is shown above. McKeithen's office managed a secret burglary ring with teenagers and protected Johnson's child trafficking network.
Sheriff Pitts connections and sponsors were also John T. Moorman from Las Vegas, Nevada and Qunicy, IL along with Pasco County Sheriff John Short formed Alamo Title to pay-off America's top cops.
Moorman had Florida Nudist Resorts at Jay, Florida, where children are intermingled with adults. Defense Intelligence Agency Computer Servers hosted his family portrait photography business pay-to-look website in St Petersburg, Florida.
General McQueen, a former NATO General, was the First Baptist Church's Business Administrator. McQueen hails from Enterprise, Alabama, my home and Center of Worldwide operations of the child-trafficking- Election rigging network.
Over a decade ago, my former co-author Wayne Madsen with my assistance, published Rise of the Christian Mafia, explicitly outlining the rise of right-wing Nazi evil inside some of America's church groups and denominations. Rise of the Christian Mafia was not published to hurt Christianity but to point out cancer inside of religion in America as a dangerous tool used to divide and destroy civilized communities.
The follow-up series by Insider Magazine, Hail to Saint Marcus, Fleecing The Flock and other articles led federal and state law enforcement to unmask, indict, and convict church leaders of fraud, wholesale theft, and embezzlement of people's property and life savings. When unmasked we discovered they were gangsters and organized crime criminals many from New Jersey and New York State, today their address is still a federal penal institution.
The FDLE was by court order taping my telephones in the 80's when John Moorman called and asked if they could secretly put $78,000 in my business bank account to pay Pitts' lawyer's Benny Lazzara, jr and Mike Gillick of Tampa. Benny's father was a Lt in mob leader Santo Trafficante Jr's Crime Family until he was gunned down and Gillick was a former Tampa Police officer.
Sheriff Pitts was charged with felony perjury after he lied to a Bay County Grand Jury about having sex with employees. Pitts was found not guilty because the Mafia bought his-jury-forewoman who had to babysit for Pitts when she was a teenager. So on Monday morning, before the Pitts jury was seated, I already knew who she was, and I later wired up for Special Prosecutor Bernie McCabe to get at the inner workings.
Bernie McCabe didn't want to come back to Bay County for a retrial where the Chief Judge picks the jury in advance. Pitts asked me to be his trial investigator and head up a citizens group to raise money for his defense this is why I was inside the network in Florida.
In the '80s, Pitts introduced me to Allan "Frog" Johnson, top left as his best detective and Frog's 14-year-old girlfriend. Frog, a former BCSO and State Attorney investigator, ran the kiddie trafficking network and fronted all the strip joints in South Alabama and North Florida. A 2008 surveillance photo shows Frog sitting at a nightly meeting with convicted child pornographer Scott Amburg a partner meeting at Outback restaurant in Panama City, Fl.
Johnson owned a 12-seat Cessna aircraft he used to transport children peddled making trips to the Virgin Islands. Johnson's airplane was parked at Brooksville, Florida, before Johnson was assassinated with a bullet behind the ear in July 2014.
Johnson's lawyer was Thomas Hogan from Brooksville the same attorney John T. Moorman and Sheriff John Short used for Alamo Title and Sunburst Nudist Resorts.
Two teenage girls apparently murdered by the Epstein Child-Sex Trafficking network include J.B. Beasley and Tracie Hawlett on August 1, 1999, at Ozark, Alabama.
After Robert Muller's Russian October 31, 2017, federal court indictments unsealing. I helped profile the hired killers'. Coley McCraney a Minister from Dothan, Alabama is being held for trial in Dale County, Alabama. McCraney had been an employee of Wayne Farms a Mafia chicken processing operation where hired killers were dispatched to murder Epstein exposure threats.
The Network bought Alabama and Florida area churches through Maxwell Bruner from Fort Walton Beach, Florida. Bruner was an owner of Big Kahuna's Water-Slide World located at 1007 US Highway 98 East Destin, Florida. Max Bruner was also the former Superintendent of Education in Okaloosa County.
Current Lynn Haven, Florida Mayor, Jessee Nelson is one of the network associates from Dothan a self-proclaimed Baptist Minister and massage parlor operator who was put into political office due to the forced removal of Margo Anderson who is currently awaiting a federal jury criminal trial along with James David Finch.
Finch is known by Mafia associates as Mr. Concrete for having his enemies encases in concrete and dropped from an airplane into the Gulf of Mexico. Finch is a friend and business associate of former President George W. Bush.
Finch owned Phoenix Racing, Phoenix Construction a 100 Ft. Yacht the Lady Phoenix, and Lear Jet. Finch has been well protected by local narcotics agents and the United States D.E.A. as a major importer of Cocaine. Finch in violation of the Federal Mann Act routinely flew prostitutes to parties to entertain political leaders in exchange for favors and awards of all municipal, county, water, and sewer infrastructure contracts.
Click the text below for the court file at Dale County, Alabama in the 1999 Murders of JB Beasley and Tracie Hawlett. The investigation continues.
Detective Dick Cloud above during the middle 70's exposed deep endemic corruption by the Mafia inside the Tampa Police Department, Hillsborough County Courts, and Florida State Attorney's Office. Cloud was assassinated by the Mafia. The tentacles of the Mafia became entrenched Statewide in Florida with the Mob setting up Alamo Title from Hudson, Florida used to deed hidden valuable land to Florida's top cops, Sheriff, Chief's of Police, future Director's of the Florida Department of Law Enforcement.
During the middle 70's I helped ID Hillsborough Court Judge Johnson as the man distributing photos of Tampa detective Richard (Dick) Cloud above who was shot several times by Mafia hit-men when he answered his front door in his underwear without his gun.
United States General Mike Flynn compromised by Russian Mafia/KGB Pleaded guilty. The Defense Intelligence Agency clandestinely setup child pornography and sexual grooming operations in the late 60's to pick future U.S. Judges and political leaders.
United States 11th Circuit Appeals Judge Bill Pryor was groomed for his job by the DIA-KGB Network. Pryor was the Attorney General of Alabama who ruled against Alabama Governor Don Siegelman's Election Contest. Bill Pryor also covered up Election Fraud by ESS, Inc the late 90's "first-trial-run" of electronic voting machines in the United States held at Enterprise and Coffee County, Alabama.
A Drone from the Enterprise Lobby Program
United States Congressman Bill Dickinson an avowed racist above the man who facilitated the Arab-Israeli Six-Day War with Egypt in 1967. Dickinson from Montgomery, Alabama was the ranking member of the House Armed Services Committee.
Before the 6-Day War Dickinson enlisted Billy Grice, John Hugh Caylor and Milton McGregor at Fort Rucker, Alabama, Supply to steal Avionics (radar) for installation into Israeli fighter jets. The move was for Israel to attack Egypt and destroy Egypt's Air Force on the ground.
Today violence still rages in the still-disputed area captured by Israel. Supply supervisor Billy Grice and john Hugh Caylor were both sentenced to federal prison. Milton McGregor who walked - became the key drug distributor and money launder of the protected network using proceeds from Grice's cocaine importation network later setup and Israel's Sheldon Adelson's Casino's.
Recently deceased Mafia Kingpin Milton McGregor above - NATO General McQueen's people.
Former United States Congressman Terry Everett from Enterprise, Alabama above my newspaper boss at the Army Flyer and other contract publications was the protege of Congressman Bill Dickinson. Bill Dickinson would often show up before lunch on Friday with a bottle of Crown Royal spending Friday afternoon drinking in Terry's Office at Daleville, Al.
Terry also served in USAF Intelligence many of his employees were former Cuban Bay of Pigs veterans left on the beach at Cuba after JFK scrubbed and refused to provide air support for the CIA's secret invasion of Cuba. They were bitter as Hell and hated JFK.
Terry later took Bill's place as a Congressman after he established a group of newspapers promoting Republican right-wing ideology at Fairhope, Alabama and the Alabama Gulf Coast area.
Mark Fuller A protégé of Republican Congressman Terry Everett
Fuller was the 2nd DA running protection succeeded Joel Folmar as District Attorney protecting the illegal network, conspired with Mafia/KGB to use the United States Department of Justice to prosecute Alabama Governor Don Siegelman to take him away from future U.S. Presidential Elections.
Doss Aviation incorporation records might be traced back to USAF Chief of Staff General Curtis LeMay who forcefully advocated a First Strike Nuclear War against Russia and Cuba during the Cuban Missile Crisis Joint Military Chiefs Meetings.
USAF General Curtis LeMay, above and other General's viewed President John Kennedy as a traitor who must be assassinated.
During the Cuban Missile Crisis in October 1962, President John F Kennedy stormed from the meeting with his Military Chief's of Staff and screamed those guys are F****n Nuts! They want to end the world in 24 hours they actually believe we can survive nuclear war.
After Kennedy was assassinated on November 22, 1963, General LeMay was immediately present in the gallery smoking his famous cigar directing his "nemesis" President John Kennedy's autopsy.
LeMay became a Vice-President running mate of George Wallace in 1968. Wallace's home territory at Clio, Barbour County, Henry County, Eufaula, Headland, Dothan was later used by Israel in a highly protected operation establishing Tepper Aviation, Inc with 19 C-130's to import cocaine, heroin into the United States with Kenworth of Dothan, Eufaula and stockpile the product in warehouses for distribution nationally.
During 1982-83 I requested the FBI to put many of the first drugs kiddie porn network principals in prison. The Kiddie Porn Sex-Trafficking Network used 12 - 13 year old teenage girls and young boys to prostitute and peddle drugs at truck-stops along Southern Interstates in the South owned by the Mafia. DIA Network just changed people out and went back to trafficking in children and dope.
Russian Mafia Connections in North West Florida to Renegade CIA General Bowen Ballard the Traitor network follows. Ballard is buddies with the Saudi's, ISIS, Israel and China, the man who established the Muslim Brotherhood at Panama City in the early 80's operating as AKBAR Clinic at Springfield.
Anchors was a member of Lawton's Chiles staff who was part of the network to overthrow America in the early days to the current. Senator Lawton Chiles arranged the importation of cocaine and heroin into America. Anchors runs "Protection" for the operation. These people doped America and brought us endemic corruption.
Senator Chiles, George Ralph Miller, and CPA Herbert Barr from Enterprise, Alabama were given 22 acres of Beachfront land on FL 30-A as advance payment to set up a bank embezzling scheme to fund illegal covert-drug-smuggling-ops on U.S. Soil with the St. Joe Company. They later defrauded $210,000,000 in loans from 3 Savings and Loans in 1986 causing the banks to fail. Michelle Anchors should be indicted, convicted, and sentenced to prison as a traitor against the United States.
Governor Chiles and his group of criminals borrowed millions on the land from First Federal of DeFuniak Springs and defaulted on the loan and the land was sold to the State of Florida when Chiles was Governor and is now Topsail Hill State Park.
Jimmy Barr above was also a member of the Florida Ethics Commission and partner in Dixie Mafia's Drug Bank People's First - Barr made complaints disappear and was on Bay Medical Trustees covering-up theft of hundreds on millions funneled to plan members and the KGB.
The principals change bank names like soiled underwear. Superior Bank at Birmingham was set up by Earl Durden from his illegal toxic waste transport business. The Hidden Master Bank was Centennial Bank at Key Marathon, Florida, and Conway, AR. The Arkansas Development Finance authority was set up by Bill Clinton as Governor of AR.
Photo's stated officially in Police Reports "not to exist", indicate Investigator was tortured, choked, and murdered in Valdosta, GA. motel room. Based upon existing evidence we believe he uncovered a spy plot against the United States. Police reports say he committed suicide. There's blood in all the wrong places and screwed-up police reports.
Editor's Note: In May 2001, the FBI secretly reopened the long forbidden "Cointelpro", a counter-intelligence program that spies on American citizens. As a former "independently active criminal intelligence analyst" for the Bureau in the late 80's until the mid-'90s. I was directly involved in the investigation of the 1989-90 domestic mail bomb attacks against the federal judiciary (VANPAC) and the Oklahoma City bombing. During the early June 2001 time frame, I was re-contacted by email and asked for any relevant information and knowledge of Chinese Army operatives activity in the United States.
Later, I learned that the FBI had been actively searching for "suitcase neutron bombs" in Miami and other United States cities. The dreaded neutron bomb is a high-yield radiation weapon that I have had personal experience working on as a former civilian employee in R&D for the Department of Defense at Fort Rucker, Alabama. Directly involved in the testing of functional components at Aberdeen Proving Grounds, I was injured and lost 80 percent of my hearing, requiring surgery and revoking my medical status to fly in military aircraft.
The bomb was so horrific Europeans forced then-President Jimmy Carter "to not deploy the weapon" on European soil as the neutron bomb is Pandora's worst nightmare and there is no defense against it! Since the late 70's China and Pakistan have miniaturized the weapon making it higher yield and packaging it in a suitcase for remote detonation by space satellites. Once the weapon is hidden in place it can be used as a yellow mail device to surgically kill hundreds of thousands without harming valuable real estate and precious national resources.
In 2005 I thought It could be China and Saudi Arabia's muddled weapon of choice having diffused links to Islamic AL-Qaeda terrorists while shifting attack responsibility to Pakistan. Based upon intelligence sources I have come to the conclusion that a device may be detonated in the United States, it may be only a matter of when?" In pursuit of the truth regarding this matter of grave concern, Insider-Magazine.com has relentlessly pursued the death investigation of Investigator Raymond Lemme.
Crime scene photos stated not to exist show blood in all the wrong places. Shortly before he disappeared, Investigator Lemme was excited and told several people that he had solved the biggest crime of his career.
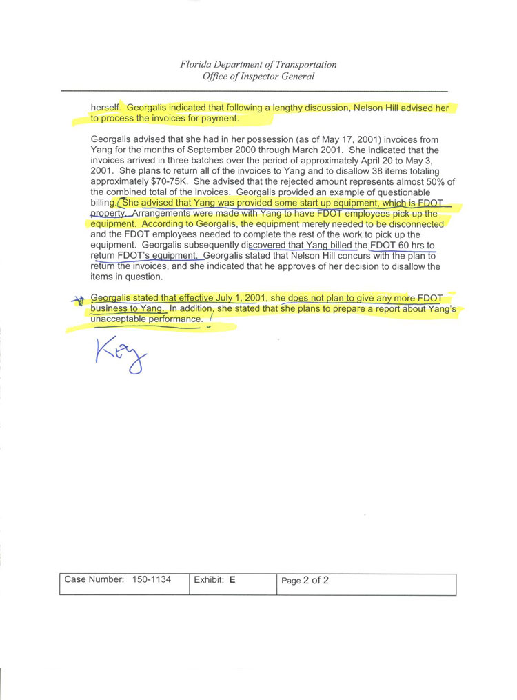
Mr. Lemme was an investigator with the Florida Department of Transportation who resided in Tallahassee, Florida. Mr. Lemme honorably served our country in Vietnam and was an active U.S. Air Force reservist at the time his of death. He was investigating serious allegations made against a Chinese software firm that had U.S. government contracts. The allegations were made by Florida Department of Transportation supervisor Mavis Georgalis and programmer Clint Curtis a former Yang employee.
They inferred that Yang Enterprises, whose lobbyist is United States Congressman Tom Feeney helped secure contracts for a firm not eligible to receive contracts due to the fact that an illegal alien and spy was working for them. These and the other allegations against Yang and Feeney that have recently come to light threaten the security of the United States. Those involved in the apparent plot have gone to extreme measures using murder, malicious prosecution of whistle-blowers, manufacturing several different police reports and official investigative documents to hide facts that high-level treason continues to be committed against our citizens.
INVESTIGATOR'S MURDER COVER-UP STRAW THAT BROKE PLOT
SUICIDE TURNS MURDER IN TREASON CASE INVOLVING CHINESE SOFTWARE COMPANY WITH NASA AND GOVERNMENT CONTRACTS!
Murders of two Assistant United States Attorneys are Covered up by FBI Officials to protect the Conspiracy against the United States. Click the link below for the first autopsy of Michael Edward Runyon Tampa. Did he shoot himself in the mouth with a shotgun? No Powder Burns?
The Criminal Cabal Engages in RICO Acts and Maliciously Prosecutes Journalists and news organizations who expose their criminal acts.
The Cabal in Northwest Florida and South Alabama has infiltrated the United States Attorney's Office, State and Local judiciary.
From 2005 article being updated at request of investigators.
An extensive 3 year investigation has uncovered startling facts and documentation that suggest China and Saudi Arabia are the nations engineering the Al-Qaeda plot to overthrow the United States government.
Based upon credible intelligence and extensive secret documentation previously with-held by law enforcement agencies we have determined that the plot reaches the highest levels of the United States government and involves United States Congressman Tom Feeney, R. Florida, and at least Florida Governor, Jeb Bush.
Secret documents show the espionage and treason acts perpetrated against the United States involved murder, programming vote switching software, manipulation and control of existing government computer databases maintained by the Federal Aviation Administration, Internal Revenue Service, Federal Bureau of Investigation, United States Customs, National Aeronautics and Space Administration, Department of Defense, Florida Department of Law Enforcement and the Florida Department of Transportation are just a few of the many government agencies that have been infiltrated by Chinese and Saudi spies.
The high-level IT attacks have resulted in a War Of Terror against citizens worldwide and are outlined in a book published in China in February 1999 which proposes tactics for developing countries, in particular China, to compensate for their military inferiority vis-à-vis the United States during a high-tech war.
The book was written by two PLA senior colonels from the younger generation of Chinese military officers and was published by the PLA Literature and Arts Publishing House in Beijing, suggesting that its release was endorsed by at least some elements of the PLA leadership. This impression was reinforced by an interview with Qiao and laudatory review of the book carried by the party youth league's official daily Zhongguo Qingnian Bao.
Published prior to the bombing of China's embassy in Belgrade, the book has drawn the attention of both the Chinese and Western press for its advocacy of a multitude of means, both military and particularly non-military, to strike at the United States during times of conflict. Hacking into websites, targeting financial institutions, terrorism, using the media, and conducting urban warfare are among the methods proposed.
In the Zhongguo Qingnian Bao interview, Qiao was quoted as stating that "the first rule of unrestricted warfare is that there are no rules, with nothing forbidden." Elaborating on this idea, he asserted that strong countries would not use the same approach against weak countries because "strong countries make the rules while rising ones break them and exploit loopholes . . .The United States breaks [UN rules] and makes new ones when these rules don't suit [its purposes], but it has to observe its own rules or the whole world will not trust it." Click on the link below for a Chinese definition of unrestricted warfare http://insider-magazine.com/Chinaswarfare.html
Insider's confidential intelligence sources have confirmed the U.S. Intelligence community was operating in a defensive posture against the Chinese governments adoption of "unrestricted warfare" prior to the election of George Bush, Jr.
Bush who became President amid claims of software fraud and votes scamming in Florida has according to our sources, systematically dismantled historical national security safeguards for access to sensitive data. At the same time, Bush and his brother's political allies have worked as lobbyists for the Chinese and the Saudis to secure government contracts enabling the ongoing infiltration. Bush's other brother Neil is also on the board of directors of a Chinese semiconductor firm with ties to the Chinese Army.
Federal court documents and secret intelligence reports obtained by Insider-Magazine show illegal alien spies working for those firms with deep connections to AL-Qaeda have been allowed access to the NASA computer files for downloading and were involved in exporting high-tech weapons and satellite technology. Those firms have received government contracts allowing them to penetrate the highest levels of United States security and government agencies.
One such firm is Yang Enterprises, Inc. a 250 employee software firm from Oviedo, Florida. The company is represented by Jeb Bush's former running-mate, Republican Congressman Tom Feeney. Yang Enterprises is a firm with government contracts at NASA, the Florida Department of Transportation, and the Department of Law Enforcement then headed by former Bay County Sheriff Guy Tunnell.
With the help of their "Lobbyist Congressman Feeney", and Governor Jeb Bush, Yang was in 2005 awarded a place on the high priority list of vendors for all Florida state agencies, although an employee Henry Nee pled guilty to espionage in Orlando federal court in 2004, an activity that would preclude them from obtaining state and federal contracts.
The insider's documentation from law enforcement reports yet to be made public, show Florida Department of Transportation Inspector General employee, investigator Raymond Lemme at the time of his death was investigating allegations that Yang employed illegal aliens among other things including over-payments and money laundering activities. Lemme apparently stumbled across the ongoing spy operation.
Congressman Tom Feeney shown above with the President is also the registered lobbyist for the Yang Corporation whose employee, an illegal alien, Henry Nee A (PLA) Member, was indicted by a federal grand jury in 2004 for exporting microchips to Beijing University. Nee subsequently pleaded guilty to the charges.
During 2009-10 the University of Beijing consistently hacked my computers and tried to infect them with malware. After I published the initial story in 2005 later in 2007 (6) Boeing Cruise Missiles (each 75 x Hiroshima) were stolen by the same group the FBI Counter-Intelligence Division at Mobile, Al thought to be the Russian-Mafia They were profiled as Active and Current duty USAF Reserves. This is why President Obama ordered a purge of the USAF when he became President.
Corporation people who dogged me before General Mike Flynn had me arrested in December 2016 to kill me in custody at the Bay County jail were all founders of Blackwater
According to trusted sources Blackwater did the inventory at Minot AFB, perhaps the nukes went over the Canadian border in trucks and out the port of Vancouver, CA
I published the following article in early 2014 heading back to Alabama digging deep into the (DIA) Kiddie Porn - Human Trafficking operation. I traveled to Alabama from Fredericksburg, VA to interview 2 potential witnesses who held deep secrets about the network run by Mafia assets.
In 2005 Confidential Insider sources stated that China dismantled microchips and reverse-engineered the Sanders and Lockheed Martin chips possibly Re-manufacturing and reprogramming them for export back to the United States and integrating them into existing U.S. weapons systems rendering them inoperable and functionally unstable.
China is renowned worldwide for theft of technology and flooding markets with knock-offs, counterfeits, and imitations of products made with prison labor. In addition, China is the largest owner of U.S. Treasury notes due to an imbalance of trade. As early as last week, the head of the Fed Bank in New York warned in a Wall Street Journal article that the U.S. economy could collapse if China dumped their U.S. Treasury certificates.
- Authorities have officially reported that Lemme committed suicide in a Valdosta motel room on July 1, 2003, but the Insider's investigation has concluded that it was murder after obtaining hard evidence and conflicting reports stated not to exist in official police records.
- A major part of the Insider's investigation was carried out in Lowndes and Echols counties in and around Valdosta, Georgia, and stemmed in part from an ongoing illegal alien smuggling operation in Bay County, Florida. The Bay County operation was part of our story "License To Steal", in the Fall 2003 print edition of Emerald Coast Insider Magazine, in which we directly linked White House transition team member William Harrison, Jr. to Big Wheel Recycling and Aztec Environmental of Panama City, Florida.
My story at the time centered upon apparent influence peddling by Harrison within the U.S. Marshall's Service in Washington and the dumping of toxic waste in Bay county, Florida. We were unaware that smuggling illegal aliens was involved until the FBI, EPA and Homeland Security raided Aztec and Big Wheel's offices in February 2004 at Panama City, Florida, after publication of our story. In the above related investigations conducted by Insider we have obtained exclusive interviews with sources who have worked inside the smuggling operations and those stories will be follow-ups to this breaking story.
Ray Lemme's Yang investigation apparently ran parallel to his FDOT investigation of whistle-blower Mavis Georgalis who was the IT manager trying to stop Yang from getting a $77 million contract with the state of Florida. Bay County businessman and prominent Republican Earl K. Durden is chairman of the Florida Transportation Commission.
Durden and Beach businessman Charles L. Hilton are both staunch supporters of the president and are founding members of the "Club for Growth" in Washington. D.C. a key group behind the dismantling of the national Social Security Benefit System, whose members have been reported to work illegal aliens and make use of leased employees. Illegal Employees from China, Ukraine, Mexico, Central America.
Investigative records show that Whistle-blower supervisor Mavis Georgalis was targeted for prosecution after exposing Yang to her superiors at the FDOT, records and interviews with FDOT staff conducted by the Insider show that Georgails allegations and those of programmer Clint Curtis were not investigated even tough the Inspector General is due to release an official report on the matter.
Mavis was jailed by Jeb and George Bush and fired to cover up the fact they were involved in treason against the United States. I myself was done the same way and I am back in Panama City to take them down this time the FBI has been along for the ride. In 2004 there was a federal criminal grand jury sitting in Pensacola, Florida where the President of the United States and his brother Jeb were active targets due to their promotion and illegal activities with Aztec Environmental and Big Wheel Recycling.
During October 2004 that grand jury was disbanded on orders of President George Bush. Gregory Miller the United States Attorney resigned over the incident that if left alone would have netted, Panama City Business people, Charles Faircloth, Jerry Lewis, Lewis family, Mary Sitmam, William Harrison, Jimmy and Debbie Livingston $5 Billion in government contracts on USAF Bases using illegal aliens smuggled into the United States many with Spanish Surnames and passports but who were from Pakistan.
During my 2001-2006 investigation and interviews with employees of FDOT, Lemme's supervisor Robert Clift told me that he was the person responsible for launching the investigation of Whistleblowers-Georgalis and Clint Curtis.
Based upon substantial evidence obtained by the Insider, it was either Jeb Bush or Tom Feeney ordered the Whistle-blowers prosecuted, we don't buy the story from Lemme's supervisor Bob Clift who is on record apparently filing a false affidavit with the Leon County Sheriff's department in connection to the Lemme death case.
Clift and Lemme's widow who works with the law firm of Holland and Knight are both on the same page with the cover-up by the Valdosta Police. In December 2004, Investigative reporter Wayne Madsen brought the Lemme murder story to light in Online Journal. Click on this link to follow other murders and cover-ups in the Inslaw software case cover-up reports.
The case of Yang Enterprises bears remarkable similarity to that of Saudi software firm “Ptech” responsible for engineering 9/11. Below is a letter to the United States 11th Circuit Court of Appeals dated august 1989. The letter was used to start a wave of terror bombing of federal and state court jurists in America a plan long thought out by the Russian KGB and the People's Liberation Army of China one we are now see come to surface in America.